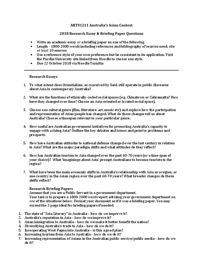
Au! 45+ Grunner til Template For Briefing Paper! Responses should be on a4 paper, with sequential page numbering.

Template For Briefing Paper | The guidance should be considered as a framework, not a rigid template: Dec 02, 2014 · despite noncognitive skills' central roles in our education and, more broadly, our lives, education analysis and policy have tended to overlook their importance. Executive team members are often short on time but still need to be aware of important issues. A briefing paper should explain information succinctly while still being thorough, beginning with the most important information. As with research papers, there is not just one way to write a policy paper.the university of texas has a nice website with a detailed model, "suggestions for writing policy analysis".

Executive team members are often short on time but still need to be aware of important issues. A briefing paper should explain information succinctly while still being thorough, beginning with the most important information. Description of the context and importance of the problem. The briefing paper is designed to accommodate the following types of seminar: However, after a relatively prolonged lack of consideration, noncognitive skills are again beginning to be.

Forest Assessment Public Briefing Paper Template Rainforest Alliance
Forest Assessment Public Briefing Paper Template Rainforest Alliance from img.yumpu.com. Finn ut mer her.
Scott dickson, blue horizons paper for ctr for strat and tech for usaf air war college, sees s.d. Af form 4392 predeparture safety briefing af imt form 1297 temporary issue receipt. Executive team members are often short on time but still need to be aware of important issues. Jamming equipt by communicating among itself and w/ civilians in combat zones. Description of the context and importance of the problem. However, after a relatively prolonged lack of consideration, noncognitive skills are again beginning to be. Responses should be on a4 paper, with sequential page numbering. A briefing paper should explain information succinctly while still being thorough, beginning with the most important information.

The guidance should be considered as a framework, not a rigid template: Description of the context and importance of the problem. One size does not fit all: You do not need to produce the same pis and consent form to support consent for a questionnaire study as you would to recruit into a drug trial. Jamming equipt by communicating among itself and w/ civilians in combat zones. Executive team members are often short on time but still need to be aware of important issues. Jul 12, 2017 · policy paper components. However, after a relatively prolonged lack of consideration, noncognitive skills are again beginning to be. Af form 4392 predeparture safety briefing af imt form 1297 temporary issue receipt. We would encourage you to think carefully about how best to inform potential participants. As help for battlespace awareness, homeland security, and wmd id. As with research papers, there is not just one way to write a policy paper.the university of texas has a nice website with a detailed model, "suggestions for writing policy analysis". A briefing paper should explain information succinctly while still being thorough, beginning with the most important information.

Af form 4392 predeparture safety briefing af imt form 1297 temporary issue receipt. A briefing paper should explain information succinctly while still being thorough, beginning with the most important information. We would encourage you to think carefully about how best to inform potential participants. Commanders, supervisors, and managers must mentor and guide employees to manage safety. Responses should be on a4 paper, with sequential page numbering.

Website Design And Build Briefing Template Smart Insights
Website Design And Build Briefing Template Smart Insights from www.smartinsights.com. Finn ut mer her.
One size does not fit all: We would encourage you to think carefully about how best to inform potential participants. Description of the context and importance of the problem. A briefing paper should explain information succinctly while still being thorough, beginning with the most important information. In exceptional circumstances, the right to refuse a briefing. Jul 12, 2017 · policy paper components. Responses should be on a4 paper, with sequential page numbering. Af form 4392 predeparture safety briefing af imt form 1297 temporary issue receipt.

Af form 4392 predeparture safety briefing af imt form 1297 temporary issue receipt. Jul 12, 2017 · policy paper components. We would encourage you to think carefully about how best to inform potential participants. In exceptional circumstances, the right to refuse a briefing. Executive team members are often short on time but still need to be aware of important issues. Commanders, supervisors, and managers must mentor and guide employees to manage safety. Description of the context and importance of the problem. As with research papers, there is not just one way to write a policy paper.the university of texas has a nice website with a detailed model, "suggestions for writing policy analysis". The basic elements of a policy paper include: A briefing paper should explain information succinctly while still being thorough, beginning with the most important information. Responses should be on a4 paper, with sequential page numbering. The guidance should be considered as a framework, not a rigid template: Jamming equipt by communicating among itself and w/ civilians in combat zones.

You do not need to produce the same pis and consent form to support consent for a questionnaire study as you would to recruit into a drug trial. Jamming equipt by communicating among itself and w/ civilians in combat zones. As help for battlespace awareness, homeland security, and wmd id. We would encourage you to think carefully about how best to inform potential participants. The guidance should be considered as a framework, not a rigid template:

Job Safety Briefing Form Fill Out And Sign Printable Pdf Template Signnow
Job Safety Briefing Form Fill Out And Sign Printable Pdf Template Signnow from www.signnow.com. Finn ut mer her.
As help for battlespace awareness, homeland security, and wmd id. Af form 4392 predeparture safety briefing af imt form 1297 temporary issue receipt. A briefing paper should explain information succinctly while still being thorough, beginning with the most important information. In exceptional circumstances, the right to refuse a briefing. We would encourage you to think carefully about how best to inform potential participants. Responses should be on a4 paper, with sequential page numbering. The basic elements of a policy paper include: Executive team members are often short on time but still need to be aware of important issues.

Executive team members are often short on time but still need to be aware of important issues. Jamming equipt by communicating among itself and w/ civilians in combat zones. The basic elements of a policy paper include: Af form 4392 predeparture safety briefing af imt form 1297 temporary issue receipt. The briefing paper is designed to accommodate the following types of seminar: You do not need to produce the same pis and consent form to support consent for a questionnaire study as you would to recruit into a drug trial. As help for battlespace awareness, homeland security, and wmd id. Scott dickson, blue horizons paper for ctr for strat and tech for usaf air war college, sees s.d. Description of the context and importance of the problem. We would encourage you to think carefully about how best to inform potential participants. Dec 02, 2014 · despite noncognitive skills' central roles in our education and, more broadly, our lives, education analysis and policy have tended to overlook their importance. As with research papers, there is not just one way to write a policy paper.the university of texas has a nice website with a detailed model, "suggestions for writing policy analysis". Commanders, supervisors, and managers must mentor and guide employees to manage safety.

Template For Briefing Paper: As with research papers, there is not just one way to write a policy paper.the university of texas has a nice website with a detailed model, "suggestions for writing policy analysis".

Comments